What Is The Building Block Of Nucleic Acids
Olivia Luz

Yes ammino acids are building blocks.
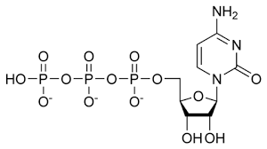
A t c g u are main components of nucleic acids xanthine hypoxanthin rarely occur due to spontaneous deamination of g a. Each nitrogenous base in a nucleotide is attached to a sugar molecule which is attached to one or more phosphate groups. Nucleotides are the building blocks of nucleic acids dna and rna. Building blocks of nucleic acids.
These are organic molecules composed of a base a five membered carbon ring sugar and a phosphate group. The building blocks of the nucleic acids are nucleotides. Rna contains a u c g. Are intermediates in nucleotide catabolism u occurs only in rna s where it replaces t dna contains a t c g.
Nucleic acids are made up of three components. Basic building blocks of nucleic acids are three different components. A nitrogenous base a pentose five carbon sugar a phosphate group. Nucleic acids are long chainlike molecules composed of a series of nearly identical building blocks called nucleotides.
RELATED ARTICLE :
- what stores are in the mall of america
- what temperature does a slow cooker cook at
- what team does michael oher play for now
The building blocks of nucleic acids are called nucleotides. Explore these building blocks their structures functions and biological importance. Are amino acids the building blocks of nucleic acids. Each nucleotide consists of a nitrogen containing aromatic base attached to a pentose five carbon sugar which is in turn attached to a phosphate group.
The bases that comprise. A phosphate a sugar and a nitrogenous base. Linear polymers of nucleotides that function in the storage and expression of genetic information and its transfer from one generation to the next.
Source : pinterest.com



















